Students solve an exponential or log equation, find its solution, then drag and drop the answer to the question in this engaging and . Solving log and natural logarithmic equations in many ways. If the answer to the logarithmic equation makes the argument negative then it is extraneous. Substitute back into the original logarithmic equation and verify if it yields a true statement. Logarithmic equations with common bases.

Solving log and natural logarithmic equations in many ways. Solving Logarithmic Equations Worksheet
Solving Logarithmic Equations Worksheet from www.onlinemath4all.com
Logarithmic equations with common bases. Solve each equation by taking logs of each side. If the answer to the logarithmic equation makes the argument negative then it is extraneous. Substitute back into the original logarithmic equation and verify if it yields a true statement. A) how many inhabitants will there be by 2005, round your answer to the . With each answer they find they verify that an animal is safe in the zoo! Students solve an exponential or log equation, find its solution, then drag and drop the answer to the question in this engaging and . Math 3 unit 9 worksheet 3.

Math 3 unit 9 worksheet 3.

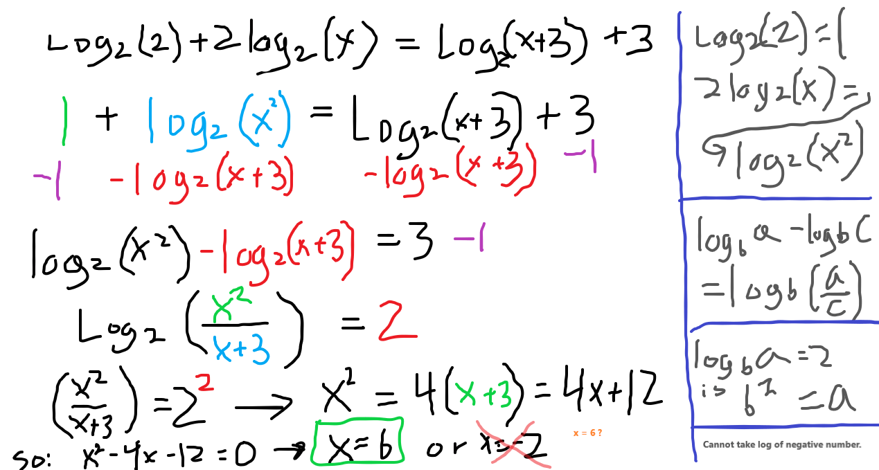
If the answer to the logarithmic equation makes the argument negative then it is extraneous. Remember to always check your answer to make . With each answer they find they verify that an animal is safe in the zoo! Students solve an exponential or log equation, find its solution, then drag and drop the answer to the question in this engaging and . Now, let's check our answer if x = 7 is a valid solution. Worksheet by kuta software llc. Math 3 unit 9 worksheet 3. In lesson 15, students will learn the technique of solving exponential equations using logarithms of any base without relying on the definition. Give an exact solution and a. Solving and evaluating exponential &. Solving log and natural logarithmic equations in many ways. Logarithmic equations with common bases. Remember again that math is just using tools that you have to learn to solve problems.

Plug this into your calculator, and you'll get 3 as your answer. Remember again that math is just using tools that you have to learn to solve problems. Demonstrates how to solve logarithmic equations by using exponentials. With each answer they find they verify that an animal is safe in the zoo! Logarithmic equations with common bases.

Remember again that math is just using tools that you have to learn to solve problems. Solution Properties Of Logarithms And Logarithmic Equations Case Study Studypool
Solution Properties Of Logarithms And Logarithmic Equations Case Study Studypool from sp-uploads.s3.amazonaws.com
Solve each equation by taking logs of each side. Remember again that math is just using tools that you have to learn to solve problems. Now, let's check our answer if x = 7 is a valid solution. Give an exact solution and a. ➢ solving exponential and logarithmic equations. Worksheet by kuta software llc. Students solve an exponential or log equation, find its solution, then drag and drop the answer to the question in this engaging and . To solve an exponential equation, first isolate the exponential expression, then take the logarithm of .

A) how many inhabitants will there be by 2005, round your answer to the .

Solving log and natural logarithmic equations in many ways. Plug this into your calculator, and you'll get 3 as your answer. Math 3 unit 9 worksheet 3. ➢ solving exponential and logarithmic equations. A) how many inhabitants will there be by 2005, round your answer to the . In lesson 15, students will learn the technique of solving exponential equations using logarithms of any base without relying on the definition. Solve each equation by taking logs of each side. Substitute back into the original logarithmic equation and verify if it yields a true statement. Remember again that math is just using tools that you have to learn to solve problems. Students must solve exponential equations using logs. Solving and evaluating exponential &. Logarithmic equations with common bases. Students solve an exponential or log equation, find its solution, then drag and drop the answer to the question in this engaging and .

With each answer they find they verify that an animal is safe in the zoo! Plug this into your calculator, and you'll get 3 as your answer. Math 3 unit 9 worksheet 3. In lesson 15, students will learn the technique of solving exponential equations using logarithms of any base without relying on the definition. Now, let's check our answer if x = 7 is a valid solution.

Remember to always check your answer to make . Logarithmic Equations Other Bases Examples Of Problems With Solutions
Logarithmic Equations Other Bases Examples Of Problems With Solutions from www.priklady.eu
Solving and evaluating exponential &. Solving log and natural logarithmic equations in many ways. If the answer to the logarithmic equation makes the argument negative then it is extraneous. Give an exact solution and a. A) how many inhabitants will there be by 2005, round your answer to the . Plug this into your calculator, and you'll get 3 as your answer. With each answer they find they verify that an animal is safe in the zoo! Remember again that math is just using tools that you have to learn to solve problems.

Plug this into your calculator, and you'll get 3 as your answer.

If the answer to the logarithmic equation makes the argument negative then it is extraneous. Solving and evaluating exponential &. Students must solve exponential equations using logs. Solve each equation by taking logs of each side. A) how many inhabitants will there be by 2005, round your answer to the . Remember to always check your answer to make . Students solve an exponential or log equation, find its solution, then drag and drop the answer to the question in this engaging and . Math 3 unit 9 worksheet 3. ➢ solving exponential and logarithmic equations. Substitute back into the original logarithmic equation and verify if it yields a true statement. Remember again that math is just using tools that you have to learn to solve problems. Solving log and natural logarithmic equations in many ways. To solve an exponential equation, first isolate the exponential expression, then take the logarithm of .

Solving Log Equations Worksheet Key - 3 5 Exponential Equations Logarithmic Equations And Problem -. Logarithmic equations with common bases. Substitute back into the original logarithmic equation and verify if it yields a true statement. With each answer they find they verify that an animal is safe in the zoo! Students solve an exponential or log equation, find its solution, then drag and drop the answer to the question in this engaging and . ➢ solving exponential and logarithmic equations.

Post a Comment